4 Gespräch mit Mira Kell

4.1 Die Begegnung

Glücklich im Zug. Sven Sommer machte sich auf die Suche nach seinem Sitzplatz. Im Gang herrschte dichtes Gedränge. Auch andere Fahrgäste waren auf der Suche. Warum dauert das so lange? Das kann doch nicht so schwer sein? ging es ihm durch den Kopf. Seine Ungeduld wuchs. Er kämpfte sich voran. Da mußte es sein, Nummer 41, er hatte 42. Nur noch ein schneller Blick auf die Sitznummern: 41, daneben 43. Nummer 42 fehlte! Bestürzung erfaßte ihn. Besaß er eine Reservierung für einen nicht existierenden Platz? Bekannte hatten einmal von so etwas erzählt.

Entschuldigen Sie bitte. Wo finde ich Platz Nummer 42?

Das ist hier, neben mir.

Sven Sommer starrte auf die Sprecherin, dann auf die Platznummern und zurück auf die Sprecherin. Seine Gedanken gerieten in Unordnung. Sie hatte Nummer 48, daneben befand sich 42, sein Platz. Aber wieso?

Ein paar grüne Augen funkelten ihn belustigt an. Nun setzen Sie sich schon. Das ist wirklich Platz Nummer 42. Ein entwaffnendes Lächeln.

Er betrachtete sie genauer. Dunkle, fast schwarze Haare fielen glatt bis auf die Schultern. Ihre Augen waren leicht mandelförmig. Sie mußte asiatische Vorfahren haben, wirkte irgendwie exotisch. Um Augen und Mund zeigten sich leichte Falten, ein Zeichen, daß sie viel und gerne lachte. Sie war ihm auf Anhieb sympathisch. Erleichtert ließ er sich in seinen Sitz fallen. Vielleicht war Bahnfahren doch nicht so schlecht.

Sven Sommer beobachtete die anderen Passagiere. Viele irrten hilflos auf dem Gang hin und her. Immer wieder Fragen nach der Sitzplatznummer. Ältere Menschen schienen Probleme mit der Beschriftung zu haben. Auch er hatte sie nur mit Mühe entziffern können. Die Platznummern waren in Fensternähe angebracht, das Gegenlicht blendete. Er dachte kurz daran, wie es wäre, wenn er älter würde, verwarf diesen Gedanken aber sofort.

Woher haben Sie das gewußt? versuchte er, ein Gespräch zu beginnen. Ich meine das mit dem Sitzplatz.

Wie aus dem Nichts erschien eine Visitenkarte zwischen ihren Fingern.

Die Hände eines Fotomodells, erkannte er.

Ich bin Mira Kell, Usability-Beraterin.

Er kramte in den Tiefen seines Gedächtnisses. Usability? Das hatte er schon irgendwo einmal gehört. Sie machen etwas mit Rollstuhlfahrern? versuchte er sich zu vergewissern.

Nein, mit Menschen.

Ja richtig, Rollstuhlfahrer sind auch Menschen. beeilte er sich zu sagen. Er fühlte sich lächerlich. Arbeitete sie etwa für eine von diesen Behindertenorganisationen? Hatte er etwas Falsches gesagt?

Nein, das meine ich nicht. entgegnete sie. Ich helfe Unternehmen, ihre Produkte so zu gestalten, daß sie für Menschen einfach, effizient und fehlertolerant zu benutzen sind.

Für ganz normale Menschen?

Ja!

Ich habe keine Probleme damit, irgendwelche Produkte zu benutzen. Sie sollte ruhig spüren, daß sie es nicht mit irgendeinem Trottel zu tun hatte.

Sie haben eben ihren Sitzplatz nicht gefunden.

Ich fahre zum ersten Mal mit der Bahn, versuchte er sich zu entschuldigen. Normalerweise fliege ich.

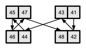
Viele Menschen verstehen das Sitzplatzschema der Bahn nicht. Sie griff zu einem Notizblock und zeichnete eine Anordnung von Sitzplätzen (Abbildung 1). Sehen Sie? Die Sitze sind so nummeriert, daß sich gerade und ungerade Platznummern in eigenen Sitzreihen befinden. Sie zeichnete weiter (Abbildung 2). Im Flugzeug hingegen bezeichnet eine Nummer die Sitzreihe und ein Buchstabe den Platz innerhalb der Reihe.


pict

Abbildung 1: Sitzplatzschema, an dem Sven Sommer scheiterte. Gerade und ungerade Sitzplatznummern befinden sich in getrennten Sitzreihen.



pict

Abbildung 2: Sitzplatzschema, daß Sven Sommer aus Flugzeugen kannte. Die Sitzreihen sind fortlaufend durchnummeriert, der Platz innerhalb der Reihe wird durch einen Buchstaben gekennzeichnet.


Sven Sommer stöhnte. Wie soll einer das verstehen? Er deutete mit dem Zeigefinger auf das Bahnschema.

Ja, nicht wahr? Zu allem Überfluß benutzt die Bahn auch noch verschiedene Schemata in verschiedenen Zügen. Mira Kell verdrehte die Augen leicht nach oben, als ob sie himmlischen Beistand erflehen würde. Das ist ein Beispiel für schlechte Usability.

Haben Sie noch mehr solcher Beispiele? Sven Sommers Neugier war geweckt. Die Fahrt versprach, interessant zu werden.

Sie müßten eigentlich schon Bekanntschaft mit einigen gemacht haben?

Er mußte unwillkürlich an sein Erlebnis mit dem Urinal denken. Das kann sie nicht meinen, dachte er. Sie kann es nicht wissen, oder …? Unangenehme Erlebnisse brannten sich einfach stärker in’s Gedächtnis ein, und dieses verweilte zudem noch im Kurzzeitgedächtnis.

Oh, ich habe mich noch gar nicht vorgestellt. Mein Name ist Sven Sommer, Manager. Er triumphierte. Da hatte er sich geschickt aus der Affäre gezogen. Über sein peinliches Erlebnis würde er jedenfalls nicht sprechen.

Die meisten Menschen geben es nicht gerne zu, wenn sie mit einem Produkt nicht zurechtkommen, insbesondere Männer. Hatte sie die Männer nicht ein wenig zu stark betont? Sie denken, daß sie zu dumm sind, weil auch andere Menschen das Produkt benutzen. Dabei sind die Produkte meistens nur schlecht durchdacht.

Woher weiß ich denn, ob ein Produkt schlecht durchdacht ist oder ob ich einfach zu blöd bin? Er biß sich auf die Lippen. Die letzten Worte hatte er nicht sagen wollen.

Wenn viele Menschen Probleme mit einem Produkt haben, stimmt damit sicher etwas nicht. Sie sinnierte kurz. Aber es gibt eindeutige Kriterien, wie Einfachheit, Vorhersehbarkeit, Transparenz, Effizienz und Fehlertoleranz.

Sven Sommer schaute ratlos drein. Das ist mir etwas zu abstrakt, gestand er.

4.2 Grundlagen der Usability

4.2.1 Einfachheit

Ist Ihre Firma im Internet vertreten? fragte Mira Kell.

Aber selbstverständlich! Sven Sommer geriet in Fahrt. Endlich fragte mal jemand danach. Wir sind sogar besonders professionell vorgegangen und haben die Firma Accidenture beauftragt. Das müssen Sie sich einmal ansehen! Gleich am Anfang kommen Ihnen unsere Geräte dreidimensional entgegengeflogen, wie bei Star Wars, Huii. Er imitierte mit den Händen seltsame Flugbewegungen und begann, aufgeregt auf seinem Sitz hin- und herzurutschen. Und dann schält sich der neue AZ956-5d3 aus der Dunkelheit — der Todesstern! Bei den letzten Worten senkte er salbungsvoll die Stimme und versuchte eine Art düstere Erhabenheit ausstrahlen, brachte aber nur eine undefinierbare Grimasse zustande.

Und dann kommt ein Grußwort von mir, dem CEO. CEO buchstabierte er, weil es so gut klang. Nicht zu übersehen, der Link ist gleich dreimal auf der Seite, freute er sich. Kein Vergleich mit der Konkurrenz. Da ist alles ganz simpel gestrickt. Wir sind tausendmal besser!

Verkaufen Sie viel über das Web? fragte Mira Kell.

Nicht so richtig. Aber das kommt noch! Unsere Kunden sind noch nicht reif dafür.

Was sie da beschreiben, klingt sehr komplex.

Aber selbstverständlich! Wir verkaufen ja auch komplexe Produkte. Das ist High Tech vom Feinsten!

Einfachheit ist das Gegenteil von Komplexität.

Oh, machte Sven Sommer. Er wurde deutlich ruhiger.

Wußten Sie, daß zwischen 20% bis 80% der Kunden scheitern, wenn sie etwas im Web bestellen wollen? [1] Sie machte eine kurze Pause. Weil die Webseiten zu kompliziert sind?

Sven Sommer schien irgendwie kleiner geworden zu sein.

Webseiten werden oft nicht an den Wünschen der Kunden ausgerichtet. Bei vielen Produkten findet man noch nicht einmal einen Ansprechpartner. Mira Kell blickte ihn an. Deshalb kaufen viele Kunden nicht. [6]

Ich lege allerhöchsten Wert auf Kundenorientierung, bekräftigte Sven Sommer. Kleine Schweißperlen bildeten sich auf seiner Stirn. Er würde sich die Webseiten noch einmal genauer ansehen, vorausgesetzt, er würde damit zurechtkommen. Schließlich war er kein Computerspezialist.

4.2.2 Effizienz

Desweiteren lege ich Wert auf Effizienz. In meiner Branche ist Effizienz essentiell. Er beglückwünschte sich dafür, so viele Fremdworte in einem so kurzen Satz untergebracht zu haben.

Effizienz ist der Widersacher von Flexibilität. Mira Kell schien es eher zu sich selbst gesagt zu haben.

Ja, ja, bestätigte er, wußte aber nicht so recht, was sie damit meinte. Hoffentlich würde sie nicht näher darauf eingehen.

Henry Ford hat mit der Einführung des Fließbandes in der Automobilindustrie den Grundstein für eine effiziente Produktion gelegt, meinte sie leise.

Henry Ford, ein Vorbild für alle Unternehmer. Produktion, Effizienz, das war eine Sprache, die er verstand. Was für ein Manager! Das Modell T, Tin Lizzy, noch heute eine Legende. Ohne Effizienz läuft in der Industrie rein gar nichts. Das können sie mir glauben. Ich kenne mich da aus. Er holte tief Luft, um etwas größer zu erscheinen.

Henry Ford ist an seiner Effizienz gescheitert.

Gescheitert? Die Luft entwich langsam wieder.

Sehen Sie. Henry Ford hatte die effizienteste Autoproduktion der Welt, aber als der Markt nach anderen Modellen verlangte, konnte er die Produktion nicht rechtzeitig umstellen. Es fehlte an Flexibilität. Er war zu effizient. Andere Autohersteller überholten ihn. [7]

Ich verstehe, log er. Der Gedanke, daß Effizienz auch Schattenseiten haben könnte, war zu neu für ihn. Aber sie treten doch für Effizienz ein?

Ja, bei der Bedienung von Produkten. Effizienz bedeutet Schnelligkeit, aber nicht immer lassen sich alle Ziele unter einen Hut bringen.

There ain’t no silver bullets. Er hatte diesen Satz einmal aufgeschnappt und glaubte, daß er jetzt passen würde.

Richtig. Mira Kell machte eine kurze Pause. Kennen Sie Linux?

Dieses Computerbetriebssystem? Ich habe einen Angestellten, der es benutzt. So ein richtiger Hacker, mit Vollbart. Der bearbeitet die Tastatur wie Käptn Nemo seine Orgel. Sven Sommer lachte leise. Er geriet wieder in Fahrt. Gibt immer total komische kryptische Abkürzungen ein, WC wie Water Closet. Können Sie sich das vorstellen? Ist aber wahnsinnig schnell, der Mann. Der ist fertig, bevor die Windows-Leute nur ihre Maus gezogen haben. Er versuchte, einen coltziehenden Cowboy zu imitieren, blieb aber mit der Hand an der Sitzlehne hängen.

WC steht für Word Count, entgegnete Mira Kell trocken. Die meisten Linux-Befehle bestehen nur aus wenigen Buchstaben. Sie können deshalb mit wenigen Tastaturanschlägen viel erreichen. Das ist sehr effizient, aber auch schwer zu erlernen.

Dann ist Linux also auf Effizienz getrimmt. Der Gedanke gefiel ihm.

Nein, auf Fernschreiber. Die meisten Befehle stammen noch aus der Zeit als Tastaturen schwergängig waren. [8]

Sven Sommer staunte. Bisher hatte er immer geglaubt, daß alles in der Computerbranche brandneu sei.

Aber unter Windows ist doch alles neu? vergewisserte er sich.

Mira Kell lachte hell auf, so als hätte er einen guten Witz gemacht. Er verstand das nicht. Normalerweise lachten Frauen nicht über seine Witze.

Sie arbeiten wohl nicht allzu viel am Computer?

Nein, gab er zu und versuchte, das Gespräch in eine andere Richtung zu lenken. Gibt es denn keine Produkte, die gleichzeitig einfach und effizient sind?

Die Guillotine.

Sven Sommer verstand die Antwort nicht. Wie kam sie jetzt darauf?

Entschuldigen Sie, das ist mir so rausgerutscht. Sie schaute ernst. Einfach und effizient ist ein wichtiges Konstruktionsprinzip. Speed Buttons, zum Beispiel, sind einfach und effizient.

Was sind denn Speed Buttons?

Das sind diese kleinen Befehlssymbole bei Programmen, wo sie mit der Maus draufklicken können. Sie ersparen das Hantieren mit Menüs.

Oh, die kenne ich. Ich habe aber oft keine Ahnung, was die Symbole darstellen sollen. Mir sind solche mit Beschriftung lieber.

Stimmt, die Symbole müssen sorgfältig ausgesucht werden. Sie schaute ihn herausfordernd an. Sie könnten sie auch besser bedienen, wenn die Beschriftung auf Chinesisch wäre.

Aber ich kann kein Chinesisch, insistierte er. Hatte sie einen Scherz gemacht?

Die Schaltflächen würden durch die Beschriftung größer. Sie könnten sie besser mit der Maus treffen [9].

Das Problem kenne ich, freute er sich Neulich wollte ich die Fenstergröße verändern und habe den Schließknopf erwischt. Peng! Alles weg. Eine Stunde Arbeit verloren.

4.2.3 Fehlertoleranz

Ein fehlertolerantes Programm hätte nachgefragt, ob Sie ihre Dateien sichern wollen. Mira Kell schüttelte leicht den Kopf. Die Icons für Größenveränderung und Programmende direkt nebeneinander zu legen, was für eine absurde Idee. Sie dachte kurz nach.

Wußten Sie, daß die meisten Unfälle, die auf menschliches Versagen zurückgeführt werden, eigentlich Usability-Probleme sind? [3]

Sven Sommer staunte. Aber das kostet jedes Jahr tausende von Menschenleben

Richtig. Menschliches Versagen, pah, schnaubte sie. Dabei ist es völlig normal, daß Menschen Fehler machen. Wer Produkte baut, muß das von vornherein mit einkalkulieren und bei der Konstruktion berücksichtigen.

Das geht? Sven Sommer zweifelte. Falls sie recht hatte, starben jedes Jahr viele Menschen durch unerkannte Fehlkonstruktionen, ein ungeheuerlicher Gedanke. Wenn ich Pistolen herstelle, soll ich den Lauf zugießen? provozierte er.

Der Vorschlag gefällt mir. Sie atmete tief durch. Sven Sommer wurde für einige Sekunden abgelenkt.

Kennen Sie Überraschungseier? fragte sie.

Sie meinen diese Schokoladeneier mit was zum Basteln darin, von Experten auch effizient Ü-Eier genannt? entgegnete er fachmännisch.

Ich liebe Ü-Eier! Ihre Zunge erschien kurz zwischen ihren Lippen. Sven Sommer fühlte sich abermals abgelenkt.

Diese Spielzeuge sind einfach genial konstruiert. Sie lassen sich nur auf eine bestimmte Art und Weise zusammensetzen. Bohrungen und Pins sind so angeordnet, daß falsche Teile nicht zusammenpassen.

Das kann doch wohl jeder Ingenieur. Ihre Begeisterung erschien ihm ein wenig übertrieben. Vielleicht war es die Schokolade, die sie begeisterte. Serotonin, dachte er. Es liegt am Serotonin.

Sagen Sie das nicht. Im Space Shuttle wurde 20 Jahre lang eine Bremse verkehrt herum eingebaut [4]. Verstehen Sie, worauf ich hinaus will? Wer etwas konstruiert, muß die Einzelteile so mit Einschränkungen versehen, daß ein falscher Zusammenbau unmöglich ist. Nur so lassen sich Fehler vermeiden.

Wie bei diesem Möbelhaus mit dem Elch, ergänzte er.

Ja genau, auch das ist ein gutes Beispiel. Das Konzept wird zwar oft belächelt, aber Tatsache ist, daß die Möbel von Menschen aus allen Bildungsschichten und aller Herren Länder selbst zusammengebaut werden. Aus Usability-Sicht ist das ein großartiger Erfolg. Und die Gebrauchsanleitungen, nur mit Bildern. Die können sie ohne Änderung zwischen Deutschland und China austauschen.

Aber man kann doch nicht alle Fehlermöglichkeiten von vornherein ausschließen, warf er ein. Schließlich will ich auch einmal mit 200 über die Autobahn fahren. Da können Sie mir doch nicht das Gaspedal abklemmen, nur um zu vermeiden, daß ich einen Unfall baue.

Nein, aber man kann versuchen, den Fahrer auf gefährliche Situationen hinzuweisen und die Folgen eines Unfalls abzumildern. Wenn sie bei Tempo 200 zu dicht auffahren, könnte der Wagen sie warnen. Da gibt es viele Möglichkeiten, eine Warnlampe, ein Ton, sogar Geruch oder ein Signal, das sie ertasten können. Man könnte die Geschwindigkeit auch künstlich drosseln. Falls Sie trotzdem einen Unfall bauen, gibt es eine Fahrgastzelle, einen Sicherheitsgurt und Airbags.

Ja, mein Wagen hat eine ganze Menge davon. Neuestes Modell, Luxus pur. Nicht ganz billig, aber mit allen Schikanen. Sogar ein Kühlelement unter dem Hintern, das einen im Winter auf glatte Straßen hinweist, ha, ha, scherzte er.

Sie sah ihn schräg an.

Er verstummte. Vielleicht sollte er sich etwas zurückhalten.

4.2.4 Vorhersehbarkeit

Kochen Sie gerne? fragte Mira Kell plötzlich.

Ich? Äh, meine Arbeit läßt mir nur wenig Zeit dazu. Schlechte Ausrede, aber er konnte ihr schließlich nicht sagen, daß er Kochen für Frauensache hielt.

Aber einen Küchenherd können Sie bedienen?

Selbstverständlich! Jeder kann das. Gute Güte, konnte die Frau komische Fragen stellen.

Mira Kell fing an, auf ihrem Notizblock herumzuzeichnen. Nach kurzer Zeit präsentierte sie ihm das Ergebnis (Abbildung 3). Auf der Zeichnung waren fünf verschiedenen Anordnungen von Schaltern zu sehen.


pict

Abbildung 3: Verschiedene Anordnungen von Schaltern bei Küchenherden. Jeder Küchenherd besitzt vier Schalter für die Kochplatten und zwei für den Backofen. Nur bei Anordnung Nr. 1 ist sofort zu erkennen, welcher Schalter welche Kochplatte bedient, weil die Anordnung der Schalter denen der Kochplatten entspricht.


Nein, das ist nicht wahr! Sven Sommer stöhnte gequält auf.

Doch, und die Hersteller werben sogar damit, daß sie eine besonders intuitive Anordnung von Knebeln verwenden. Ich mache es ihnen etwas leichter, vier Knebel sind für die Kochplatten und zwei für den Backofen.

Knebel?

Knebel sind Schalter. Die Hersteller verwenden nicht die Sprache des Kunden.

Er überlegte. Nummer 1 ist einfach. Vier Schalter sind räumlich abgesetzt und genau so angeordnet wie die Kochplatten.

Richtig, bestätigte sie. Das nennt man Natural Mapping.

Bei Nummer 2 sind auch vier Schalter räumlich abgesetzt. Die sind bestimmt für die Kochplatten. Aber sie sind in einer Reihe angeordnet. Da kann ich nicht vorhersehen, welcher Schalter für welche Platte ist.

Genau, und bei Nummer 3 sind alle Schalter in einer Reihe und haben gleiche Abstände zueinander. Da ist nicht einmal zu erkennen, welche Schalter für die Platten sind.

Aber bei 4 und 5 sehe ich überhaupt keine vier zusammengehörigen Schalter. Da gibt es nur Zweiergruppen. Er fühlte sich wie in einer von diesen Quizsendungen im Fernsehen.

Lange Jahre haben Hausfrauen die Schalter für rechte und linke Platten verwechselt. Deshalb sind die Hersteller dazu übergegangen, zwei Schalter links für die linken Platten und zwei Schalter rechts für die rechten Platten anzubringen.

Dann ist Nummer 5 wieder einfach, weil dort zwei Schalter etwas höher angebracht sind. Die sind bestimmt für die hinteren Platten.

Ja.

Aber die Bedienung von Küchenherden läßt sich doch erlernen? vergewisserte er sich. Ich meine, es sind doch nur sechs Schalter.

Die Milch kocht ziemlich oft über, orakelte Mira Kell.

Ich muß also ein Produkt so konstruieren, daß die Bedienung vorhersehbar ist. Dann sparen meine Kunden Schulungskosten und es werden Unfälle vermieden. Leichte Erregung durchfuhr ihn. Damit konnte er der Konkurrenz eins auswischen. Wenn jeder Idiot ein Gerät bedienen kann, dann kann ich auch das Personal schneller austauschen.

Sie sah ihn wieder schräg an. Achten Sie lieber auf ein gutes Betriebsklima. Demotivierte Mitarbeiter nützen Ihnen nichts.

Ja, ja, bestätigte er schnell. Er war einer heißen Sache auf der Spur. Vielleicht gelang es ihm, konkrete Informationen für seine Firma zu bekommen.

Gilt das mit der Vorhersehbarkeit auch für Webseiten? fragte er, nicht ganz ohne Hintergedanken.

Selbstverständlich, die grundlegenden Prinzipien der Usability gelten für alle Produkte, antwortete sie. Das Web folgt einem besonders einfachen Paradigma. Wenn Sie auf einen Link klicken, erscheint eine neue Seite, und es gibt einen großen Zurück-Knopf, über den Sie wieder auf die alte Seite zurückgelangen. Wer mit diesem Paradigma bricht, verwirrt den Anwender.

Zum Beispiel? Diese Erklärung war ihm nicht ganz klar. Er brauchte Beispiele zum Lernen.

Auf vielen Webseiten öffnet sich bei einem Klick auf einen Link ein neues Fenster und legt sich über das alte. Dadurch wird der Zurück-Knopf deaktiviert. Viele Anwender bekommen das nicht mit und wissen nicht weiter. Wenn sie zurück wollen, müssen sie das neue Fenster mit Hilfe eines klitzekleinen Icons schließen, anstatt des schönen großen Zurück-Knopfes. Mira Kell schauderte. Das ist unvorhersehbar, ineffizient und erhöht die Komplexität.

Oh, entfuhr es ihm. Die von Accidenture hatten gesagt, das sei cool.

Aber viele Webseiten müssen doch komplex sein, bohrte er nach. Darauf befinden sich ungeheuer viele Informationen.

Finden sie sich in einem Kaufhaus zurecht?

Natürlich! antwortete er. Was für eine dumme Frage, ergänzte er für sich.

Warum?

Das ist einfach. Wenn ich einen Anzug kaufen will, finde ich ihn in der Herrenabteilung, das Brot befindet sich in der Lebensmittelabteilung, die Sportsachen in der Sportabteilung.

Kaufhäuser sind auch sehr komplex. Deshalb sind alle Artikel nach einem bestimmten Schema geordnet. Dieses Schema haben Menschen in unserem Kulturkreis von klein auf erlernt. Ein Kaufhaus, das sich nicht an diesen Standard hält, würde schnell pleite machen. Viele Webdesigner legen die Herrensocken in die Lebensmittelabteilung, schmunzelte sie.

Bestimmt zum Stinkekäse. Er lachte laut auf.

4.2.5 Transparenz

In sehr großen Kaufhäusern kann man sich schon verlaufen, überlegte Mira Kell. Es fehlt die Transparenz.

Transparenz? fragte Sven Sommer.

In Touristenstädten finden Sie an jeder Ecke einen Stadtplan. Ihr Standpunkt ist gewöhnlich mit einem roten Punkt markiert, damit Sie wissen, wo Sie sind. Wenn man Anwender darüber informiert, wo sie sich befinden oder in welchem Zustand sich ein verwendetes Produkt befindet, nennt man das Transparenz.

Interessant, sagte Sven Sommer. Er wußte nicht so recht, worauf sie hinauswollte. Auf seiner Stirn bildeten sich kleine Falten. Meine Produkte sollen dem Käufer sagen, wo er sich befindet?

Rasieren Sie sich naß oder trocken?

Trocken. Schon wieder einer von ihren Gedankensprüngen. Konnte sie nicht einmal beim Thema bleiben? Klar, wenn er sich rasierte, konnte man sein Gesicht sehen, transparent eben, bei einem Vollbart hingegen. Er mußte unwillkürlich schmunzeln. Wahrscheinlich hatte sie einen Witz gemacht.

Und was macht Ihr Rasierapparat, wenn Sie sich mit ihm rasieren?

Er macht mmmmm. Sven Sommer versuchte, das Brummen seines Rasierapparates zu imitieren. Schließlich sollte sie merken, daß er über eine gehörige Portion Humor verfügte.

rrrrrrrrr, erwiderte Mira Kell. Es macht rrrrrrrrr, wenn sie über die Barthaare fahren und mmmmm an den Stellen, wo der Bart ab ist, zumindest wenn Sie ein Modell mit Schwingkopf benutzen.

Stimmt! Jetzt war bei ihm der Groschen gefallen. Darüber habe ich noch nie nachgedacht. Am Ton kann ich erkennen, ob ich gerade Bartstoppeln abmähe oder nicht. So erhalte ich ein Signal über den Zustand meiner Rasur. Das ist Transparenz?

Ja, Rasierapparate werden so konstruiert, daß man das Schneiden von Barthaaren hören kann.

Wirklich?

Ja.

Sven Sommer sah sich im Zug um. Am Wagenende leuchtete in blassem Rot der Schriftzug WC. Die Toilette ist auch transparent, meinte er und kam sich dabei sehr gewitzt vor.

Ein gutes Beispiel. Ich gebe Ihnen noch eines. In Aufzügen befindet sich eine Etagenanzeige, damit die Menschen sehen, wo sich der Aufzug gerade befindet. Es ist eine sehr unangenehme Vorstellung, in einem Aufzug zu stehen und nicht zu wissen, was gerade passiert.

Es gibt Fahrstühle, die außen am Gebäude angebracht sind, mit Glaskabinen. Die sind auch transparent. Er freute sich. Schon wieder war ihm ein guter Witz gelungen.

Gläserne Aufzüge sind schlecht für Menschen mit Höhenangst, abgeschlossene hingegen ein Alptraum für Menschen mit Platzangst, sinnierte Mira Kell.

Die Menschen sind schon sehr verschieden, bekräftigte Sven Sommer.

4.3 Der Mensch

4.3.1 Gedächtnis

Haben Sie gestern die Nachrichten gesehen? Mira Kell sah ihn neugierig an.

Selbstverständlich! In meiner Branche ist es wichtig, immer auf dem Laufenden zu bleiben. Informiert sein heißt Sieger sein, belehrte er sie. Der DAX hat gestern um 70 Punkte zugelegt. Die Konjunktur springt wieder an.

Und sonst?

Er überlegte. Der amerikanische Präsident hatte wieder irgend etwas über den Kampf gegen den Terror gesagt. In Afrika war auch etwas gewesen, da schlugen sie sich ja ständig die Köpfe ein. Die Arbeitslosigkeit; war das nicht schon vorgestern gewesen?

In Afrika schlagen sie sich wieder gegenseitig die Köpfe ein. Die Antwort war gut. Da würde sie bestimmt nicht weiter nachbohren.

Und letzte Woche Mittwoch?

Letzte Woche Mittwoch. Du meine Güte. Da kann ich mich nicht dran erinnern. Höchstens ein Gedächtniskünstler könnte das, entgegnete er mit vorgetäuschter Entrüstung.

Mira Kell zeichnete etwas auf ihren Block (Abbildung 4). Sehen Sie sich das an. Das ist die Ebbinghaussche Vergessenskurve [10].


pict

Abbildung 4: Die Ebbinghaussche Vergessenskurve [10] zeigt die Menge von Erinnerungen in Abhängigkeit von der Zeit. Nach einer Woche verbleiben nur 20% des Gelernten im Gedächtnis.


Er sah auf ihren Block. Darauf befand sich eine Kurve, die sich beängstigend schnell bergab bewegte. Offenbar zeigte die Kurve die Menge von Erinnerungen in Abhängigkeit von der Zeit.

Ebbinghaus ließ seine Probanden etwas lernen und ermittelte, wie schnell das Gelernte wieder vergessen wurde, fuhr sie fort. Schauen Sie! Bereits nach einem Tag haben Menschen zwei Drittel wieder vergessen. Nur 20% bleibt auch nach einer Woche noch im Gedächtnis, aber das glücklicherweise für lange Zeit.

Dann habe ich ja ein Gedächtnis wie ein Sieb, erschrak er.

Vielleicht beruhigt es Sie etwas, daß diese Kurve nur für unsinnige Informationen gilt. Wenn Sie etwas lernen, daß Sie sinnvoll finden, behalten Sie die Hälfte im Langzeitgedächtnis. Sie lächelte ihn beruhigend an.

Ein schwacher Trost. Aber was bedeutet sinnvoll? Wenn ich Neuheiten über den Markt in Amerika erfahre, ist das für mich wichtig. Wenn mir jemand hingegen ein paar chinesiche Schriftzeichen präsentiert …Er verstummte.

Das haben Sie sehr gut erkannt, lobte sie. Für jeden Menschen sind andere Informationen relevant.

Aber das bedeutet doch, daß ich Dinge aus meinem Fachgebiet viel besser lerne als andere Informationen. Da werde ich doch automatisch zum Fachidioten.

Mira Kell staunte. Manchmal schaltete Sven Sommer wirklich schnell.

Aber wie kommt es dann, daß ich auch über andere Dinge so viel weiß? Ich meine, wenn ich so viel wieder vergesse, müßte ich doch sehr wenig wissen. fuhr er fort. Ich werde mich doch in einer Woche noch an Sie erinnern. Es klang fast zweifelnd.

Das will ich sehr hoffen. War da nicht ein schnippischer Unterton in ihrer Stimme? Aber Sie werden sich nicht an alle Details unseres Gespräches erinnern. Sie werden vielleicht vergessen, welche Kleidung ich trage. In Ihrem Gedächtnis verbleibt nur ein abstraktes Bild von Mira Kell. Wenn Sie jemandem von mir erzählen, werden Sie sich auf wenige Merkmale konzentrieren oder Sie denken sich einfach wieder etwas dazu.

Wirklich? zweifelte er. Wenn ich beim Erinnern etwas hinzuerfinde, verschwimmen ja Wirklichkeit und Phantasie. Das glaube ich nicht.

Jeder Polizist kann Ihnen bestätigen, daß die Zeugenaussagen nach einem Unfall oft widersprüchlich sind. Das macht die Arbeit der Polizei sehr schwer.

Sven Sommer wurde ruhig. In ihm arbeitet es.

Wenn Menschen so schnell vergessen, müssen die Schulungen für unsere Kunden kurz vor dem Umgang mit dem Produkt stattfinden, sagte er.

Ja.

Eine Kurzschulung bei Einführung eines Produktes beim Kunden kann also genau so viel leisten wie eine ausführliche Schulung einige Wochen vorher?

Ja, aber vielleicht beschwert sich Ihr Kunde, weil er weniger Informationen erhält.

Aber wichtig ist nur das, was die Mitarbeiter bei Einführung des Produktes im Kopf haben. Wenn ich bei der Einführung eine Kurzschulung gebe, spare ich Personal- und der Kunde Schulungskosten. Das ist ein klarer Vorteil gegenüber der Konkurrenz.

Er hielt inne. Angenommen, ein Kunde hat etwas vergessen, was für die Bedienung wichtig ist, und denkt es sich neu hinzu. Das kann doch zu Fehlbedienungen führen?

Richtig.

Was kann ich dagegen tun?

Sie müssen dem Kunden kleine Gedächtnisstützen geben, damit er vorhersehen kann, was passiert.

Wie mache ich das konkret?

Wissen sie, was ein Katana ist?

Sie meinen dieses Samureischwert?

Genau das. Die Klinge des Katana ist leicht gewölbt, so daß sich bei einem Schlag die Schneide nach vorne drehen will. Ein Kämpfer weiß blind, ob er das Schwert richtig herum hält. Das Katana schmiegt sich in die Hand und wird zum Teil vom ihm.

Er kniff mißtrauisch die Augen zusammen. Was trieb diese Frau in ihrer Freizeit? Gehörte sie zu diesen japanischen Kampfbräuten?

Haben Sie auch ein paar modernere Beispiele? Das Thema Schwertkampf behagte ihm nicht. Genau genommen paßten wehrhafte Frauen überhaupt nicht in sein Weltbild.

Das Lenkrad eines Autos. Wenn Sie nach rechts fahren wollen, drehen Sie das Rad nach rechts, wenn Sie nach links fahren wollen, nach links. Der Blinkhebel ist so angebracht, daß er bei einer Rechtsdrehung des Rades einfach mitgezogen werden kann. So bereitet es keine Mühe, sich zu merken, ob rechts blinken der oberen oder unteren Stellung des Blinkschalters entspricht.

Aber das ist doch selbstverständlich, rief er aus.

Sagen Sie das nicht. BMW hat ein Navigationssystem auf den Markt gebracht, bei dem ein Knopf nach links gedreht werden muß, damit sich der Cursor nach rechts bewegt [11].

Das kann doch nicht wahr sein. Sven Sommer schüttelte ungläubig den Kopf. Bei BMW arbeiten doch nur die Besten.

Das tun sie überall.

Was?

Jedes Unternehmen behauptet, sie würden nur die besten Leute einstellen, aber die besten, das sind nur ganz wenige. Wo arbeitet also die große Mehrheit der mittelmäßigen?

Darüber habe ich noch nie nachgedacht, murmelte er kleinlaut. Er dachte an seine eigene Firma. Bisher war er der Überzeugung gewesen, daß sie nur die Besten anstellten.

Das mit den Besten ist gutes Marketing und die Mitarbeiter fühlen sich wohl. Mira Kell setzte unbarmherzig nach. Aber rein statistisch ist es nicht möglich, daß in jeder Firma nur die Besten arbeiten. Es muß auch Deppen geben.

Er schluckte. Hoffentlich hatte sie dabei nicht an ihn gedacht. Dann ist es nicht möglich, daß in einer Firma nur gute Leute arbeiten? vergewisserte er sich.

Theoretisch schon, aber ich halte es für unwahrscheinlich. Und selbst wenn, vor Fehlern wären sie deshalb nicht gefeit. Menschen machen Fehler und Menschen sind nicht allwissend.

Das stimmt! Endlich mal wieder eine Aussage, die er voll bejahen konnte.

Haben Sie schon mal einen Text geschrieben und Ihre eigenen Rechtschreibfehler gesucht? fragte sie.

Ja, aber die meisten habe ich übersehen.

Das liegt daran, daß Sie wußten, was Sie meinten. Sie haben Ihre Fehler praktisch im Kopf korrigiert, bevor Sie Ihnen bewußt wurden. Deshalb können Menschen ihre eigenen Fehler nur sehr schwer entdecken. Dazu brauchen sie Hilfe von anderen.

Wie von Ihnen?

Ja, das gehört zu meiner Arbeit.

Sven Sommer dachte nach. Bei Rechtschreibfehlern ist das einfach. Da gibt es feste Normen und Regeln. Aber was für Menschen intuitiv ist, das wird nicht per Gesetz festgelegt. Menschen sind verschieden, auch wenn das Gedächtnis bei allen ähnlich funktioniert.

4.3.2 Wahrnehmung

Es gibt natürlich Gemeinsamkeiten und Unterschiede, aber im Prinzip sind sich alle Menschen ähnlich. Mira Kell zeichnete ein Strichmännchen auf ihren Block (Abbildung 5). Was soll das darstellen? fragte sie herausfordernd.


pict

Abbildung 5: Wir erkennen sofort, daß ein Strichmännchen einen Menschen darstellt, obwohl der Mensch hier auf wenige Merkmale reduziert ist. Ein Beweis für das ungeheure Abstraktionsvermögen unseres Gehirns.


Einen Straßenräuber, der mit ausgebreiteten Armen versucht, einen Wagen anzuhalten. Sven Sommer fand sich sehr komisch.

Sie erkennen also in ein paar lausigen Strichen einen Menschen, begeisterte sich Mira Kell. Ist das nicht absolut erstaunlich? Das zeigt das phantastische Abstraktionsvermögen des Gehirns. Ein Mensch, reduziert auf ein paar wesentliche Merkmale.

Ja, ja. Er konnte nicht so ganz verstehen, warum ein Strichmännchen sie derart in Aufregung versetzen konnte. Vielleicht sollte er demnächst eine Diät machen.

Es vereinfacht die Informationsverarbeitung enorm, wenn wir die wichtigsten Merkmale aus dem Gesehenen herausfiltern, fuhr sie fort. Deshalb können wir auch komplexe Dinge wie einen Menschen wieder anhand der wesentlichen Merkmale identifizieren. Das kann sogar viel schneller gehen, als wenn wir ein vollständiges Bild bekommen, weil wir keinen Aufwand für das Extrahieren der relevanten Informationen treiben müssen. Wir können sogar Dinge sehen, die es gar nicht gibt.

Wie denn das? Mira Kell hatte Sven Sommer schon oft erstaunt, aber diese Behauptung hielt er für absurd.

Mira Kell griff wieder zu ihrem Block und zeichnete drei eingeschnittene Kreise darauf. Die Einschnitte sahen aus wie die Ecken eines Dreieckes. Die Dreieckskanten zeichnete sie jedoch nicht durch (Abbildung 6).


pict

Abbildung 6: Die meisten Menschen können in der Mitte dieser Zeichnung ein Dreieck wahrnehmen, obwohl nur ein paar eingeschnittene Kreise vorhanden sind. Der menschliche Geist sucht gerne nach sinnvollen Informationen.


Können sie das Dreieck in der Mitte erkennen? fragte sie.

Aber selbstverständlich.

Sie sehen ein Dreieck, obwohl keins vorhanden ist, dozierte sie munter weiter. Ihr Gehirn nimmt die drei Ecken wahr und versucht, daraus etwas Sinnvolles zu machen.

Aber ich bin doch deswegen nicht verrückt, oder? Er mußte sich eingestehen, daß sie ihn wieder verunsichert hatte.

Aber nein, natürlich nicht, beruhigte sie scherzhaft. Evolutionstechnisch gesehen sind wir alle noch Affen und wir sehen besonders das, was für Affen wichtig ist.

Sven Sommer triumphierte kurz. Endlich hatte sie einen Fehler gemacht. Menschen waren keine Affen, sondern hatten nur gemeinsame Vorfahren. Er wollte sie schon unterbrechen, aber sie war in Fahrt geraten und sprach ungehindert weiter.

Die Vorfahren des Menschen waren Jäger und Sammler, ständig auf der Hut vor Raubtieren. Hatte sie nicht kurz ihre Zähne gezeigt? Wenn sich ein Raubtier im Gebüsch versteckt, ist nur wenig von ihm zu sehen. Deshalb mußten unsere Vorfahren fähig sein, aus wenigen Merkmalen auf ein Raubtier zu schließen. Besser ein Raubtier zuviel erkannt als eines zu wenig.

Das leuchtet mir ein. Er imitierte mit der Hand ein zupackendes Raubtiermaul, daß seine andere Hand in den Fängen hielt.

Pflücken Sie gerade eine Frucht vom Baum? fragte Mira Kell scheinheilig. Anscheinend war sie von seiner Imitation nicht besonders beeindruckt.

Äh, ja, meinte er schnell. Dazu mußten die Affen dreidimensional sehen können. Seine Augen blieben für den Bruchteil einer Sekunde an ihren Brüsten hängen. Und farbig, ergänzte er mühsam.

Für Ihr Vorhaben ist das dreidimensionale Sehen nicht unbedingt nötig, eher für das Springen von Ast zu Ast. Sie hatte wohl nicht bemerkt, daß er kurzzeitig seine Konzentration verloren hatte. Das Farbsehen ist tatsächlich sehr wichtig, nicht nur für die Früchte. Viele giftige Tiere nutzen Farben, um zu sagen: Friß mich nicht!

Sie machte eine kurze Pause und räkelte sich auf ihrem Sitz.

Das ist also der Grund, weshalb in Amerika die Stopbalken schwarz-gelb sind wie die Wespen?

Ja.

Und weil wir einfache Formen lieben, sind Piktogramme so verbreitet?

Ja.

4.3.3 Denken

Sven Sommer schwieg eine Weile und dachte darüber nach, was das eben Gelernte für Konsequenzen haben könnte. Schließlich meinte er:

Wenn wir Gesehenes auf einfache Merkmale reduzieren, denken wir dann auch einfach?

Eine sehr interessante Frage.

Er jubilierte innerlich. Damit hatte sie nicht gerechnet. Eine Frage, die seinen brillianten Intellekt bewies.

Mira Kell schloß ihre Augen und atmete tief durch, wohl um ihre Gedanken besser ordnen zu können.

Ich glaube, die meisten Menschen denken sehr selten, hob sie an. Meistens assoziieren sie nur. Aber auch das ist eine Form des Denkens.

Sven Sommer verstand überhaupt nichts mehr. Was war das jetzt schon wieder? Ich denke, also bin ich, gab er seine klassische Bildung zum Besten.

Genau das meine ich. Sie haben eben nicht über meine Worte nachgedacht, sondern Denken mit einem Zitat aus Ihrer Erinnerung verknüpft, assoziiert eben.

Aha, machte Sven Sommer, etwas ratlos.

Ich gebe Ihnen ein Beispiel. Auf öffentlichen Toiletten gibt es Wasserhähne, die verschiedenartig bedient werden müssen, bei manchen muß die Stellung eines Hebels verändert werden, bei anderen ein Knopf gedreht oder gedrückt werden.

Es gibt auch die automatischen, ergänzte Sven Sommer.

Wenn Sie einen radartigen Knopf vorfinden, werden Sie ihn mit Drehen assoziieren, weil Sie gelernt haben, daß man Räder drehen kann. Einen Hebel kann man in der Position verändern und einen Knopf werden Sie mit Drücken verknüpfen. Auf diese Weise können Sie einen Wasserhahn auch dann bedienen, wenn Sie zum ersten Mal mit einem speziellen Typ Bekanntschaft machen.

So einfach ist das aber nicht. Ich habe schon Knöpfe gesehen, die gedreht statt gedrückt werden müssen. Da drückt man dann drauf und nichts passiert.

Das ist ein Usability-Problem. Ein Produkt muß so konstruiert sein, daß der Anwender aus dem Design intuitiv auf die Bedienung schließen kann. Ein Knopf signalisiert dem Anwender: Drück mich.

Ich verstehe. Beim Assoziieren kramen Menschen nach Ähnlichkeiten in ihrem Gedächtnis und handeln ähnlich wie schon zuvor, aber sie denken nicht wirklich nach. Jetzt wurde ihm einiges klarer. Dachten Menschen überhaupt irgendwann nach? Wer hatte all die technischen Dinge erfunden? Und was war mit Schachspielen? Da mußte man seine Züge im Voraus planen. Das war bestimmt richtiges Denken. Er spielte nicht gerne Schach.

Werbung arbeitet zum großen Teil mit Assoziationen, erläuterte Mira Kell. Insbesondere bei Produkten, die sich sehr ähnlich sind wie Kaffee oder Zigaretten. Sie kaufen keine Zigarette, sondern zum Beispiel den Geschmack von Freiheit und Abenteuer. Das funktioniert, weil Sie sich beim Rauchen an die Werbung erinnern und das Gezeigte mit der Zigarette verbinden. Das Image einer Marke beeinflußt sogar das Geschmacksempfinden [12].

Sven Sommer staunte. Sollten Menschen wirklich so einfach gestrickt sein? Er bestimmt nicht! Was konnte das für seine Firma bedeuten? Wenn ich Kugelschreiber von hoher Qualität verschenke, werden Kunden meine Produkte mit hoher Qualität assoziieren? vergewisserte er sich.

Wenn die Qualität Ihrer Produkte in Ordnung ist, schon. Mira Kell machte eine kurze rhetorische Pause. Aber die Qualität Ihrer Kugelschreiber sollte sich dann auch vom Üblichen abheben. Keinesfalls sollten Sie auf Billigstware setzen. Sie wissen schon, diese Stifte, die Sie nach dem ersten Gebrauch wegwerfen.

Wieder einmal fühlte er sich ertappt. Konnte diese Frau hellsehen? Gut, das nächste Mal würde er ordentliche Qualität einkaufen. Bis dahin hatte er ja noch einen großen Vorrat.

Aber nur mit Assoziationen geht es doch nicht? hob er an.

Nein, da haben Sie recht. In vielen Situationen ist planvolles Vorgehen notwendig. Dazu benutzen Menschen meistens ein vereinfachtes Funktionsmodell.

Ein vereinfachtes Funktionsmodell?

Ja, als Sie vorhin ihren Sitzplatz gesucht haben, kannten Sie nur die Sitzplatznummerierung aus Flugzeugen. Das war Ihr Modell. Anhand dieses Modells sind Sie vorgegangen. Aber das konnte nicht funktionieren, weil das Sitzplatzschema der Bahn anders ist.

Wenn mein geistiges Modell anders ist als die Wirklichkeit, kann ich also Fehler machen, obwohl ich von mir aus völlig logisch vorgehe, meinem Modell entsprechend?

Ja, und für die Menschen in Ihrer Umgebung kann das unter Umständen seltsam wirken, weil diese über ein anderes Hintergrundwissen verfügen und somit ein anderes geistiges Modell benutzen.

Haben Sie ein Beispiel dafür?

Auf amerikanischen Flughäfen sieht man häufig Deutsche mit Abfall in der Hand umherlaufen, ein komisches Bild. Das liegt daran, daß in Deutschland an jeder Ecke ein Mülleimer steht. In den Staaten wurden die Mülleimer jedoch auf den Flughäfen wegen der Bombengefahr weitgehend abgebaut. Der unerfahrene Deutsche kommt dann mit dem Modell ‘An jeder Ecke ein Mülleimer’.

Die Deutschen sind für die Amis also Müllmännchen! Sven Sommer lachte schallend auf. Und da spricht man immer davon, das interkulturelle Verständnis zu fördern.

4.3.4 Intelligenz

Aber dann sind die Menschen doch unterschiedlich, obwohl sie ähnlich denken, erkannte Sven Sommer.

Ja, stimmte Mira Kell zu. Wahrnehmung, Gedächtnis und Denken beruhen bei allen Menschen auf den gleichen Grundlagen. Natürlich gibt es Unterschiede in den Ausprägungen. Jeder Mensch hat unterschiedliche Stärken und Schwächen.

Es gibt die Klugen und die Dummen. Sven Sommer hatte keine Zweifel daran, zu welcher Gruppe er gehörte.

Sie sollten das nicht so einfach pauschalisieren. Im Mittelalter glaubte man, nur die Klügsten könnten Lesen und Schreiben. Heute haben viele ältere Menschen Probleme beim Umgang mit Computern, während die jungen damit aufwachsen. Das heißt nicht automatisch, daß die Jungen klüger sind. Sie sind nur mit andersartigen Informationen vertraut. Ihre Stimme hatte einen strengen Unterton angenommen.

Aber es gibt Menschen, die sind wirklich blöd, bohrte Sven Sommer weiter nach.

Ja, die gibt es! Ein undefinierbares Lächeln erschien plötzlich auf ihrem Gesicht. Hatte sie an jemand Bestimmten gedacht? Deutsche Schüler haben vor einiger Zeit in der PISA-Studie sehr schlecht abgeschnitten. Glauben Sie, daß deutsche Schüler deshalb dümmer sind?

Natürlich nicht, entrüstete er sich. Wie können Sie so etwas behaupten? Wir müssen nur unser Schulsystem reformieren.

Nur? Sie war etwas skeptisch, ging aber nicht weiter auf das deutsche Bildungssystem ein. Sie glauben also, daß eine gute Ausbildung sehr wichtig ist?

Er stutzte. War diese Frage nicht etwas zu scheinheilig gestellt? Sven Sommer witterte eine von diesen Fallen, aber es konnte nur eine Antwort auf die Frage geben: Natürlich.

Sie haben recht. Es ist sehr wichtig, Zeit und Geld in die Ausbildung von Mitarbeitern zu investieren. Sie sah ihn leicht schräg an. Er schluckte. Hoffentlich würde sie nicht näher darauf eingehen.

Mira Kell tat ihm den Gefallen. Stellen Sie sich vor, Sie ziehen in eine neue Stadt. Zuerst kennen Sie sich überhaupt nicht aus. In dieser Zeit nutzen Sie nur die großen Straßen, die gut ausgeschildert sind. Sie machen Umwege, wo jeder Ortskundige die kleinen Schleichpfade benutzt. Nach einiger Zeit beginnen Sie, die kleinen Straßen zu erkunden. Sie werden sich vielleicht ab und zu einmal verirren, aber irgendwann werden Sie selbst zum Ortskundigen.

Das ist doch trivial, tat Sven Sommer ab. Diese Floskel hatte er von einem Mathematiker übernommen und hoffte, damit zu beeindrucken.

Sagen Sie das nicht. Wenn Sie neu in eine Stadt ziehen, ist ihnen jeder ortskundige Depp weit überlegen. Da können Sie noch so klug sein. Wenn Sie beginnen, die kleinen Straßen zu erkunden, verirren Sie sich ab und zu, das heißt, Sie machen Fehler. Aber ohne diese Fehler können Sie nicht zum Ortskundigen werden, außer Sie haben einen Führer, einen Ausbilder sozusagen.

Und wenn ich keinen Führer habe und mich nicht in die kleinen Straßen traue, werde ich niemals zum Ortskundigen? Er biß sich leicht in die Unterlippe und ärgerte sich, daß er diese Frage gestellt hatte. Sie war rein rhetorisch.

Ja, manche Menschen trauen sich schneller in die kleinen Gassen, einige können sich die Wege besser merken und ein paar verfügen über einen besseren Orientierungssinn und verirren sich nicht so oft. Wenn bei einem Menschen diese Fähigkeiten stark ausgeprägt sind, würden wir ihn in diesem Bild als intelligent bezeichnen.

Warum nur in diesem Bild? wunderte sich Sven Sommer.

Weil Intelligenz vielfältig ist [13]. Es gibt mehrere Eigenschaften, die Intelligenz ausmachen. Es ist ein Unterschied, ob Sie eine Fremdsprache erlernen, mathematische Berechnungen anstellen, komplexe Zusammenhänge erkennen oder kreativ sind. Aber es ist so, daß ein Mensch im allgemeinen als intelligent bezeichnet wird, wenn er viele dieser Fähigkeiten in sich vereint.

Und der wird dann Manager. Sven Sommer platzte fast vor Stolz.

Mira Kell sah ihn an. Stand da nicht so etwas wie Fassungslosigkeit in ihren Augen? Das sagen Manager gerne, um ihre Gehälter zu rechtfertigen, gab sie trocken zurück.

Aber Leistung muß sich doch lohnen, erregte er sich. Die meisten Menschen können gar nicht beurteilen, was ein Manager leistet. Niemand trägt so viel Verantwortung wie ein Manager.

Mira Kell schwieg. Sie schien ihm merkwürdig angespannt. Dann sagte sie leise: Was Manager leisten, ist hinreichend bekannt [14] [15].

Na also, dachte Sven Sommer. Selbst sie muß die Leistung eines Managers würdigen. Er freute sich. Auf Manager ließ er nichts kommen.

4.3.5 Verschiedene Anwender

Sven Sommer aalte sich einige Momente in Selbstzufriedenheit. Dann fragte er: Wenn ich einen Klugen und einen Dummen vor ein Gerät setze, lernt der Kluge die Bedienung doch viel schneller?

Wenn beide Personen einen ähnlichen Erfahrungshintergrund haben, stimmt das, aber wenn der Kluge zuvor Hebekräne bedient hat und jetzt einen Bagger steuern soll, ist er gegenüber einem erfahrenen Baggerfahrer im Nachteil. Mira Kell klang wieder normal.

Man sollte einen Taucher nicht als Fallschirmspringer einsetzen. Sven Sommer lachte. Damit hatte er die Sache auf den Punkt gebracht.

Außer es handelt sich um Kampftaucher, warf sie ein.

Schon wieder diese Feinheiten, dachte er. Die interessieren doch keinen. Mußte sie immer das letzte Wort haben?

Bei der Bedienung von Produkten geht es oft um Feinheiten, fuhr Mira Kell fort. Die Entwicklung von guter Bedienbarkeit ist, als ob Sie einen Rohdiamanten zu einem Schmuckstück schleifen.

Meine Kunden gehören eher in die Kategorie Rohdiamanten, grollte Sven Sommer. Denen kann man nichts rechtmachen. Aber ich kann schließlich nicht wissen, ob ich einen Taucher oder Fallschirmspringer vor mir habe. Der letzte Satz heiterte ihn wieder auf. Warum lachte Mira Kell nicht?

Haben Sie ein Bild von Ihren Kunden? fragte sie.

Ich habe ein Bild von meiner Yacht. Ein Schuß ins Blaue. Er hatte keine Ahnung, wovon sie sprach. Ein Gruppenphoto konnte sie schließlich nicht meinen.

Nein, das meine ich nicht. Umspielte da ein fragiles Lächeln ihre Mundwinkel? Besitzen Sie so etwas wie Persönlichkeitsprofile von Ihren Kunden?

Nein, gestand er. In meiner Branche geht es um Funktionalität. Ich spreche oft mit meinen Kunden und weiß was sie brauchen. Unsere Produkte bieten hervorragende Leistung zum bestmöglichen Preis.

Bei guter Benutzbarkeit geht es nicht allein um Leistung, klärte Mira Kell ihn auf. Ein gutes Produkt muß auf den Kunden abgestimmt sein. Ein Produkt, daß täglich von erfahrenen Profis eingesetzt wird, muß anders konzipiert sein, als eines für Gelegenheitsanwender.

Aber vorhin haben Sie noch erklärt, daß die Grundlagen der Usability für alle gelten. Ein guter Einwand, fand er.

Das stimmt, aber sie müssen die Schwerpunkte anders setzen. Ein Profi setzt sehr stark auf Effizienz, während ein Anfänger es leicht und fehlertolerant haben will.

Das ist genau das, was ich sage. Man kann es nicht allen recht machen. Sven Sommer nickte mit dem Kopf, um sein Aussage zu untermauern.

Deshalb benötigen Sie ein Profil von Ihren Kunden. Sie müssen wissen, ob es sich um Anfänger oder Profis handelt, ob sie jung oder alt sind, groß oder klein. Wenn sie einen Bonbonautomaten für Kinder bauen, darf sich der Geldeinwurfschlitz nicht in zwei Metern Höhe befinden.

Und wenn ich Wohnungen für Pygmäen baue, kann ich an der Deckenhöhe sparen. Er lachte wieder schallend auf.

Es gibt auch in Deutschland kleinwüchsige Menschen. Wußten Sie, daß 10% bis 20% aller Menschen als behindert eingestuft werden? Das ist eine große Kundengruppe.

Das ist viel, staunte Sven Sommer. Bisher waren Behinderte für ihn kein Thema gewesen.

Allein 5% aller Männer sind teilweise farbenblind. Sie haben eine Rot-Grün-Schwäche.

Das kann doch nicht sein. Farbenblinde Männer hätten doch laut Evolutionstheorie aussterben müssen. Schließlich hätten sie keine Früchte erkennen können.

Vielleicht wurden sie von Frauen gefüttert? spekulierte Mira Kell süffisant.

Er überhörte diesen Kommentar geflissentlich. Aber wenn ich Behinderte berücksichtige, schnellen doch meine Entwicklungskosten in die Höhe.

Nicht unbedingt. Vieles, was für Behinderte gut ist, macht auch normalen Menschen die Arbeit leichter, erklärte sie. Jemand mit motorischen Einschränkungen wird große Schaltknöpfe bevorzugen. Ein normaler Mensch wird effizienter, weil er große Knöpfe schneller trifft.

4.3.6 Umwelteinflüsse

Mira Kell machte eine kurze Pause. Dann sagte sie:

Eigentlich sind alle Menschen irgendwann einmal behindert.

Ich bin nicht behindert, sagte Sven Sommer, leicht entrüstet.

Bei Nacht sind alle Katzen grau. Kennen Sie das Sprichwort?

Natürlich, jeder kennt das. Aber was hat das mit Behinderungen zu tun? Das Thema war ihm unangenehm.

Bei wenig Licht sehen Menschen nur schwarzweiß. Sie sind dann farbenblind. Bei völliger Dunkelheit sind sie blind.

Das weiß ich, aber deswegen ist man doch nicht behindert. Sven Sommer war etwas gereizt.

Temporär schon, entgegnete Mira Kell. Wenn Sie ein Produkt bauen, müssen Sie solche Effekte natürlich berücksichtigen. Normalerweise würde man ein Gerät für den Einsatz in Dunkelheit beleuchten wie beim Autoradio. Aber das ist nicht immer eine gute Lösung. Stellen Sie sich einmal vor, ein Gerät soll in stark staubigen Umgebungen eingesetzt werden oder bei der militärischen Feindaufklärung. Dann tun Sie gut daran, das Gerät so zu konzipieren, daß es blind bedienbar ist. Das ist übrigens auch für das Autoradio empfehlenswert, weil Sie dann nicht die Augen von der Straße nehmen müssen.

Ich verstehe, sagte Sven Sommer.

Umgekehrt ist sehr helles Licht blendend und wirkt ähnlich wie zu wenig. Bildschirme sind bei hellem Umgebungslicht schlecht ablesbar. Wenn es wiederum sehr laut ist, können Sie schlecht hören. Die Umgebung wirkt sich unmittelbar auf die Sinne des Menschen aus.

Wie im Winter, wenn man vor lauter Kälte die Hände nicht mehr bewegen kann. Er war stolz, etwas beigetragen zu haben.

Ja, Kälte schränkt die motorischen Fähigkeiten ein. Das gilt auch für den Gebrauch von Handschuhen. Sie haben dann Hände wie ein Yeti.

Wenn ich Produkte für den Einsatz in der Kälte baue, muß ich also für Yetis konstruieren. Er lachte laut auf. Welch ein gelungener Witz.

Ein japanischer Baumaschinenhersteller hat das nicht berücksichtigt, als er den skandinavischen Markt erobern wollte. Die Türgriffe waren so klein, daß sie sich nicht mit Handschuhen bedienen ließen. [6]

Oh, dann hätten sie wohl Wodka zum Erwärmen beilegen sollen. Sven Sommer empfand sich heute als besonders humorvoll.

Ja, Alkohol ist auch ein großes Problem. Man kann nicht mehr klar denken, Koordinationsvermögen und Reaktionsgeschwindigkeit werden eingeschränkt. Viele Angestellte sind alkoholkrank. Mira Kell wirkte ernst.

Ich soll also für betrunkene Yetis konstruieren? scherzte Sven Sommer. Das sind ja schöne Aussichten.

Sie können genauso gut für überarbeitete Mitarbeiter konstruieren, fuhr Mira Kell fort. Die Auswirkungen von Streß, Erschöpfung und Müdigkeit sind ähnlich.

Meine Mitarbeiter laufen unter Streß erst zu Hochform auf, betonte er.

Mira Kell schwieg.

4.4 Verabschiedung

In wenigen Minuten erreichen wir Tiefental, Hauptbahnhof. Wir wünschen allen Passagieren eine gute Weiterreise, tönte es aus den Lautsprechern.

Sven Sommer mußte aussteigen. Er verabschiedete sich von Mira Kell und dankte ihr für das Gespräch. Vielleicht würden sie sich ja irgendwann einmal wiedersehen.

Der Zug hielt. Vor dem Ausgang hatte sich eine Schlange gebildet. Ein Meter vorwärts, dann ging es nicht mehr weiter. Sven Sommer wurde ungeduldig und versuchte, einen Blick auf den Türbereich zu erhaschen. Anscheinend mühte sich eine alte Dame mit ihrem Gepäck ab. Diese hohen Stufen, stöhnte sie. Ein paar andere Reisende versuchten, ihr zu helfen. Mir bleibt heute auch nichts erspart, dachte Sven Sommer und wartete, bis der Ausgang endlich frei wurde und er den Zug verlassen konnte.

Er ging aus dem Bahnhof. Vor dem Gebäude befand sich eine breite Roste. Ein paar wohlgeformte Beine machten seltsame zappelige Bewegungen. Sein Blick blieb daran hängen. Ein hoher spitzer Absatz hatte sich in der Roste verfangen.

Ein Usability-Problem, erkannte Sven Sommer. Ein paar durchgehende Trittsegmente und das Problem wäre gelöst. Das Gespräch mit Mira Kell hatte ihn tief beeindruckt. Er hatte soeben ein Usability-Problem erkannt und eine Lösung ersonnen. Leichter Stolz kam in ihm auf. Usability for High Heels, amüsierte er sich und ging weiter. Ein alter Mann kam ihm entgegen. Er stützte sich auf einen Stock. Gleich würde er die Roste erreichen.